離心風機廠家介紹高壓離心風機的速度矢量分布。
現在多級離心風機在離心風機市場上的銷量逐年增減,可見其發展前景是很廣闊的。下面離心風機廠家就多級離心風機的變頻控制(變速控制)為大家詳細說明一下,希望對大家的實際
很多人在操作高壓離心風機時容易遇到一些問題,比如說機械部件的問題,尤其是機械部件的次生故障。下面離心風機廠家就這一問題帶大家具體了解一下。
當高壓離心風機的管路系統靜能頭為零時,由于變速運行中的不同工作點為相似工況點,因此變速運行中不同工作點參數之間的關系可以直接采用相似定律計算。如變速運行時,靜能頭
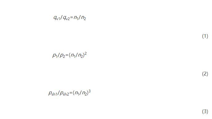
根據相似定律,在相似工況條件下多級離心風機的轉速由n1變為n2時,風機流量、全壓、軸功率均發生變化,變化前后各性能參數與轉速的關系如下:
對于高壓離心風機,入口導流器調節是在離心風機的進口集流器前加裝導流器(如軸向導流器、簡易導流器等),通過調整導流器葉片角度,產生不同強度的強制預旋,從而改變通風機的性能曲線
通常情況下在葉輪平衡時,高壓離心風機整體上的振動均改善較為顯著,不過有部分時候還會出現振動不穩定的情況.
基于大氣條件(溫度,壓力和相對濕度),相同體積的空氣(m3/h)可以所含空氣質量(kg/m3)不相同,即空氣密度不同,并且多級離心風機的性能受環境溫度、空氣密度影響。在多級離
多級離心風機的從業者應該努力掌握風機的結構、工作原理、性能特點及影響因素,從而可以根據不同運行工況,不同使用條件,設計選擇出綜合表現比較好的離心風機。伴隨人們對環
為了提供更好的來流條件,給定較為準確的邊界條件,離心風機廠家在利用Solidworks軟件對高壓離心風機進行三維建模時,分別將進風區域和出風區域進行延長處理,以保障進出口氣體的
濟南實力風機制造有限公司www.mwjrt.cn 版權所有 技術支持:卓博科技 網站地圖
法律聲明:本網站部分內容來源于網絡,如有侵權請告知!我們立即刪除;本網站嚴格遵循國家相關法律法規規定,如有不當之處,請告知!我們立即刪除。